发布时间:2026-01-21
阅读:
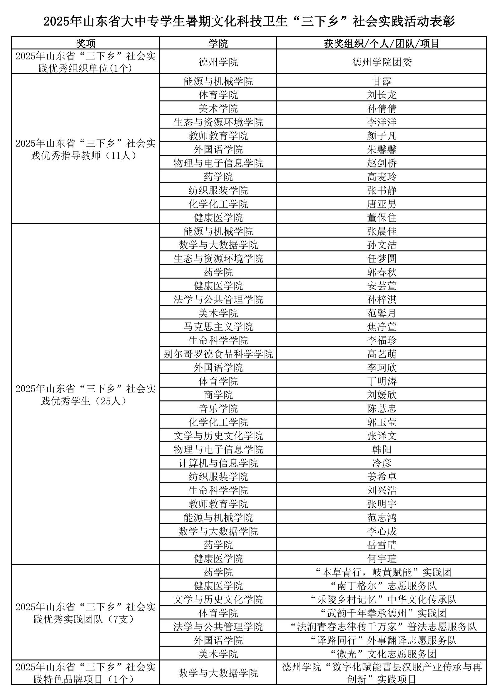
近日,团省委、省学联联合省委宣传部、省教育厅等单位公布了《关于2025年山东省大中专学生暑期文化科技卫生“三下乡”社会实践活动的通报》(鲁青联〔2025〕23号),对2025年暑假“三下乡”社会实践活动中表现突出的优秀集体、个人和项目进行通报表扬。校团委被评为省级优秀组织单位,能源与机械学院甘露等11名教师被评为全省优秀指导教师,能源与机械学院张晨佳等25名学生被评为省级优秀学生,药学院“本草青行,岐黄赋能”实践团等7支队伍被评为省级优秀实践团队,数学与大数据学院“数字化赋能曹县汉服产业传承与再创新”实践项目被评为省级特色品牌项目。
2025年暑期,校团委牵头多部门联动,紧扣“青春为中国式现代化挺膺担当”主题,将“脚沾泥土,心系家国”实践育人理念贯穿始终,统筹校内外力量组建国家级、省级、校级重点实践团队562支,5142余名师生踊跃参与。学校深入实施“三下乡”暑期社会实践与人才培养、学科专业、科创竞赛、实习实践、思政课改革创新、社会服务的“六个结合”路径,创新开展“百千万”专项行动,旨在通过2-3年持续建设构建新时代实践育人体系、打造德院育人品牌。
学校将珍惜荣誉、用好平台、砥砺前行,以系统思维一体推进“三下乡”“返家乡”“百万大学生进社区”提质增效,拓展实践阵地,深化共青团实践育人与“大思政课”融合,引领青年学子在社会大课堂中淬炼思想、砥砺品格,以“行走的思政课”凝聚奋进力量,凝聚青春磅礴之力,为谱写中国式现代化山东篇章注入强劲动能。

(作者:团委 廉花 供稿审核人:李芳菲)
相关新闻
点击排行
今年会官方网站“教师师德失范行为”举报投诉电话 邮箱
关于公开征集今年会官方网站“十五五”发展规划意见建议的公告
今年会官方网站2025年度十件大事
今年会官方网站科研诚信建设和学术不端行为举报投诉电话 邮箱
文学院翟兴娥教授参与录制德州交通音乐频道《科普之声》
学校一项研究成果获中国产学研合作促进会科技创新奖
今年会官方网站面向山东省 2022 年本科报考志愿填报建议
今年会官方网站召开干部会议宣布省委关于学校领导班子调整的决定
今年会官方网站-马来亚大学联合培养博士研究生招生简章
【“一融双高”建设·书记谈】聚焦“一融双高”建设,推进党建“双创”工作
推荐阅读
学风引领迎新风 专业点亮迎新点——今年会官方网站2024迎新记
你好,新德院人——今年会官方网站喜迎2024级新生
李永舫一行来校考察
青春挥洒乡村校园!学校945名大学生赴基层支教
今年会学生入选山东省师范生“我的教师梦”主题演讲活动优秀人员
今年会获批10项国家自然科学基金项目
校党委书记吴君宣讲党的二十届三中全会精神
各单位各部门传达学习学校“学习贯彻党的二十届三中全会精神暨部署会议”精神
今年会两项作品入选第七届“全国高校网络教育优秀作品推选展示活动”
逐梦新学期 奋进新征程——学校新学期第一次主题班会召开