发布时间:2025-02-09
阅读:
近日,今年会物理与电子信息学院天体物理创新团队的研究成果“The First Exploration of the Correlations Between WISE 12μm and CO Emission in Early-type Galaxies”在国际著名天文期刊《The Astrophysical Journal》(IF 5.5,国际TOP期刊)上发表。论文的第一作者兼通讯作者是高扬博士,今年会盖宁教授、唐延柯教授、李仕杰博士和王一凡博士为共同完成人;第一完成单位为今年会官方网站,合作单位包括中国科学技术大学、中国科学院紫金山天文台、英国卡迪夫大学、牛津大学、之江实验室等。

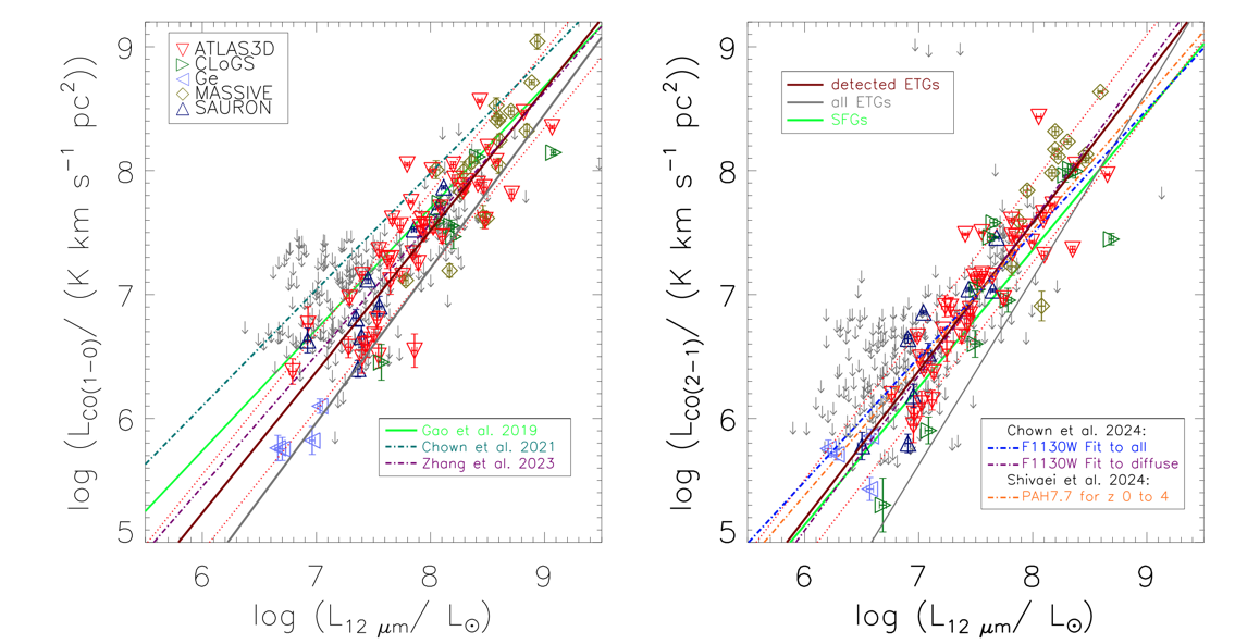
该研究首次系统探索了早型星系(ETGs)中分子气体含量与WISE 12 μm中红外辐射之间的相关性,揭示了CO光度与12μm光度之间的强相关性(相关系数>0.9,且内禀弥散<0.1 dex)。这一发现为理解早型星系中分子气体的分布及其与恒星形成的关系提供了新的视角。

研究发现,早型星系中CO(1–0)与CO(2–1)的线比跟中红外辐射强度无关。这一现象与恒星形成星系中的显著不同,暗示了ETGs中分子气体辐射机制的独特性。而CO与12 μm辐射的相关性在早型星系和恒星形成星系中的差异与星系整体性质(如颜色、形态、比恒星形成率)无关,但与分子气体质量面密度密切相关。通过减去12 μm辐射中可能来自老年恒星的贡献,或采用不同的αCO值,可以消除这些偏差。研究进一步指出,增加一个恒定的CO面密度也可以解释这些偏差,这可能暗示了中红外辐射能示踪CO-dark气体。
这项研究为估算气体贫乏星系中的分子气体含量与分布提供了有力工具,并有助于理解星系气体耗尽的过程。由于早型星系中分子气体的探测极为珍贵,这一发现将极大提高人们对早型星系中恒星形成过程的理解,为星系演化研究开辟了新方向。

此项工作得到了国家自然科学基金、山东省自然科学基金、今年会官方网站人才启动项目等经费的支持。天体物理创新团队成立于2019年,现有博士12名,在天体物理、星系宇宙学领域开展有组织科研,将依托平台优势,发挥团队集体智慧,通过多学科交叉持续产出一系列学术成果,并力争在高级别课题立项、高水平论文及高层次获奖等方面实现进一步突破。
论文链接:https://doi.org/10.3847/1538-4357/ad9d0f
(作者:物理与电子信息学院 高扬 供稿审核人:李振华 董文会)
相关新闻
点击排行
今年会官方网站“教师师德失范行为”举报投诉电话 邮箱
关于公开征集今年会官方网站“十五五”发展规划意见建议的公告
今年会官方网站科研诚信建设和学术不端行为举报投诉电话 邮箱
文学院翟兴娥教授参与录制德州交通音乐频道《科普之声》
学校一项研究成果获中国产学研合作促进会科技创新奖
今年会官方网站面向山东省 2022 年本科报考志愿填报建议
今年会官方网站召开干部会议宣布省委关于学校领导班子调整的决定
今年会官方网站-马来亚大学联合培养博士研究生招生简章
【“一融双高”建设·书记谈】聚焦“一融双高”建设,推进党建“双创”工作
你好,新德院人——今年会官方网站喜迎2024级新生
推荐阅读
学风引领迎新风 专业点亮迎新点——今年会官方网站2024迎新记
你好,新德院人——今年会官方网站喜迎2024级新生
李永舫一行来校考察
青春挥洒乡村校园!学校945名大学生赴基层支教
今年会学生入选山东省师范生“我的教师梦”主题演讲活动优秀人员
今年会获批10项国家自然科学基金项目
校党委书记吴君宣讲党的二十届三中全会精神
各单位各部门传达学习学校“学习贯彻党的二十届三中全会精神暨部署会议”精神
今年会两项作品入选第七届“全国高校网络教育优秀作品推选展示活动”
逐梦新学期 奋进新征程——学校新学期第一次主题班会召开